Krankheiten an Herz und Kreislauf sind die häufigste Todesursache – noch vor Krebs! Man sollte der Gesundheit des Herzens also viel Aufmerksamkeit widmen. Aber wie? Jeder kennt den Anstieg des Pulses, wenn der Arzt die Funktion des Herzens z.B. mit dem Elektrokardiogramm oder EKG misst. Da wäre es besser, wenn beim morgendlichen Zähneputzen die Herzfunktion ganz unbemerkt überprüft wird. Ist alles in Ordnung, passiert nichts. Stimmt etwas nicht, wird abhängig von den entdeckten Auffälligkeiten die Herzambulanz benachrichtigt.
Bei Patienten mit Verbrennungen im Brustbereich, bei Frühchen mit extrem empfindlicher Haut oder z.B. in einem Fahrzeug eingeklemmten Unfallopfern kommt ein Aufbringen von Elektroden wie bei der Messung des Elektrokardiogramms (EKG) ebenfalls nicht in Betracht. Hier besteht also Bedarf nach einer weiteren – berührungslosen – Messmethode der Herzfunktion.
Aber wie kann man die Herzfunktion aus der Ferne berührungslos messen? Die Antwort ist: man verwende ein Laser-Doppler-Vibrometer (LDV), z.B. hier ein Polytec Einpunkt-Vibrometer mit der Wellenlänge λ = 1550 nm, um möglichst augenschonend zu messen. Damit wird nicht die elektrische Aktivität des Herzens, sondern die vom Herzen hervorgerufene mechanische Bewegung an der Körperoberfläche gemessen. Bei dicker Kleidung wird das nicht gelingen, wohl aber bei wenig Textil wie einem Schlafanzug im Brustbereich oder auch am Hals, der üblicherweise nicht bedeckt ist.
Wer erwartet, dass die Messkurve des EKG mit der durch das Vibrometer gewonnenen Kurve, hier als Vibrokardiogramm (VKG) bezeichnet, übereinstimmt, wird enttäuscht. Das zeigen die beiden Messergebnisse im Bild 1. Das EKG zeigt den gewohnten Verlauf. Deutlich sichtbar sind die oberen und unteren Spitzen des EKG, die mit P, Q, R, S und T bezeichnet werden und die man im VKG vergeblich sucht. Aber die Abstände der extremen Spitzen sind bei beiden Messverfahren identisch. Damit stimmen die momentanen Herzraten – hier etwa 1,2 Hz oder 72 Schläge pro Minute (bpm) – in beiden Messdaten überein, so dass auch Anomalien erkannt werden können.

Ein Blick hinter die Kulissen des Vibrometersignals
Das EKG ist ein elektrisches Signal, erfasst demnach nur die Aktivität des Herzens. Demgegenüber zeigt das VKG die mechanische Bewegung des Herzmuskels. Das erkennt man am Spektrum des VKG in Bild 2, was drei Häufungspunkte von Spektrallinien zeigt: bei f = 0,25 Hz, f = 1,2 Hz und f = 2,4 Hz. Das mittlere Spektralcluster entspricht der Herzfrequenz. Da der Herzschlag mit der Zeit leicht schwankt und die Messzeit ca. 2 min beträgt, ergibt sich das gezeigte Cluster. Bei der doppelten Frequenz liegt ein zweites Cluster, das darauf zurückzuführen ist, dass der Herzschlag nicht rein sinusförmig ist, sondern Oberwellen enthält, so dass sich Harmonische ergeben. Schließlich ist das Cluster bei f = 0,25 Hz auf die Atmung zurückzuführen, da sie als mechanisches Signal ebenfalls vom Vibrometer erfasst wird. Neben der Herztätigkeit kann man mit dem Vibrometer also auch die Atmung erfassen! Die Herzaktivität wird aus dem Vibrometersignal durch Hochpassfilterung mit der Grenzfrequenz fg = 0,58 Hz extrahiert.

Je näher man am Herzen misst, desto besser eignet sich das Vibrometersignal zur Bestimmung der Herzfrequenz. Wenn die Brustoberfläche durch Kleidung so stark bedeckt ist, dass das Vibrometersignal nicht mehr hindurch dringt, ist ein anderer Messort erforderlich. Weil der Hals meist unbedeckt ist, bietet sich die Carotis als alternativer Messort an. Bild 3 zeigt neun mögliche Messorte. Die Qualität des Messsignals hängt vom Messort bzw. von der Entfernung zur Carotis ab, wie Bild 4 zeigt. Die besten Messignale erhält man an den mittleren und rechten Messpunkten. Aus den Abtastwerten x[k] der Messsignale ist die Herzfrequenz zu berechnen. Dazu bieten sich grundsätzlich zwei Verfahren an: die Auswertung des Betragsspektrums |X[n]| oder der Autokorrelationsfunktion rXX[κ].





Im Spektrum liefert das Maximum und in der Korrelationsfunktion der Kehrwert des Abstands der Maxima die gesuchte Herzfrequenz. Für die beiden Messsignale x[k] in Bild 1 zeigt Bild 5 die zugehörigen Korrelationsfunktionen. Die Periodizität der Messsignale x[k] findet man auch in deren Korrelationsfunktionen rXX[κ]. Die spektrale Auflösung und damit die Genauigkeit der ermittelten Herzfrequenz ist bei der Spektralmethode durch die Abtastfrequenz – hier fs = 120 Hz – und die Zahl der Abtastwerte – hier N = 600 – auf Δf = 0,2 Hz begrenzt.
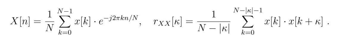
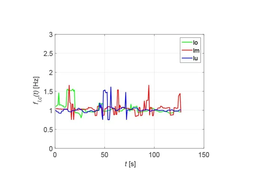
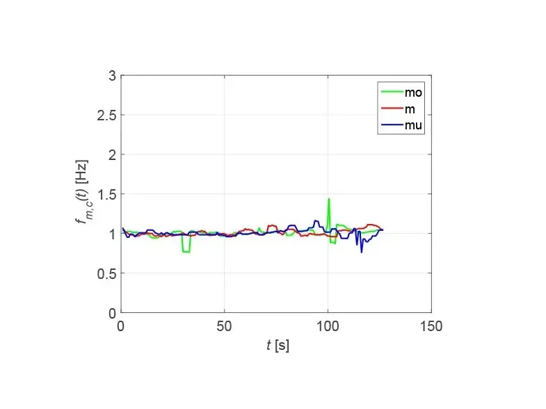
Durch zero-padding lässt sich die Auflösung auf Kosten der Genauigkeit erhöhen. Bei der Korrelationsmethode beträgt die frequenzabhängige spektrale Auflösung bei der Herzfrequenz von f = 1 Hz bzw. 60 bpm Δf = 8,23 mHz bzw. 0,49 bpm. Deshalb ist die Korrelationsmethode vorzuziehen, zumal man anhand eines aus der Korrelationsfunktion abgeleiteten Kriteriums den besten Messpunkt bestimmen kann. Die für die Messsignale in Bild 4 ermittelten Herzfrequenzen zeigt Bild 6, wobei die grünen Kurven den oberen, die roten Kurven den mittleren und die blauen Kurven den unteren Messpunkten zugeordnet sind.
Die ermittelte Herzfrequenz liegt bei etwa f = 1 Hz und ist bei den mittleren und rechten Messpunkten am stabilsten, wie schon bei der Betrachtung von Bild 4 vermutet. Insbesondere zeigen die rechten Messpunkte die wenigsten Ausreißer, die z.B. durch Bewegung oder Husten des Patienten hervorgerufen sein können.




Erkennung von Herzflimmern
Beim Herzflimmern – genauer Herzkammerflimmern – weicht die Herzfrequenz von ihrem Normalwert ab und kann bis zu f = 5 Hz oder 300 bpm erhöht sein. Dadurch wird langfristig das Herz geschädigt, so dass dessen Erkennung wichtig ist. Der Patient merkt in der Regel erst dann etwas davon, wenn bereits eine Schädigung des Herzens eingetreten ist. Bild 7 zeigt Ausschnitte aus EKG und VKG bei Vorliegen von Herzflimmern.


Man erkennt am EKG die Unregelmäßigkeit der Herzaktivität an den sich ändernden Abständen der Maxima. Beim VKG sind ausgeprägte Maxima gar nicht vorhanden. Dies führt bei den Korrelationsfunktionen dazu, dass keine ausgeprägten Nebenmaxima zu erkennen sind. Daraus lässt sich ein Kriterium für die automatische Erkennung von Vorhofflimmern ableiten. Die Unregelmäßigkeit der Herzaktivität zeigt sich auch an der über die Korrelationsfunktion berechneten Herzfrequenz, wie Bild 8 zeigt.
Typisch für das Herzflimmern ist die schwankende Herzfrequenz, die sich sowohl im EKG wie im VKG zeigt und sich im Bereich von 45 bpm bis 120 bpm bewegt.

Ausblick
In der hier beschriebenen Studie konnte unter Krankenhausbedingungen gezeigt werden, dass die berührungslose Messung von Herzparametern, hier der Herzfrequenz und das Herzkammerflimmern, mit der vorgegebenen Genauigkeit möglich ist. Darüber hinaus kann man mit der entsprechenden Signalverarbeitung auch die Herztöne und die Atmung berührungslos messen. Damit ist die Aufgabe für die Forschung zunächst erledigt.
Nun kommt es darauf an, dass geeignete Unternehmen der Medizintechnik daraus handhab- und bezahlbare Geräte entwickeln, was sicherlich keine leichte Aufgabe ist. Sie würde aber viele Menschen davor bewahren, an Herzkrankheiten vorzeitig zu sterben.
Danksagung
Beiträge zum vorgestellten Projekt haben u.a. Frau Dr. Laura Mignanelli vom KIT, Herr Dr. Armin Luik vom Städtischen Klinikum Karlsruhe, Herr Dr. Marko Wolfer von Polytec und Herr Dr. Jürgen Metzler vom Fraunhofer IOSB geliefert, wofür ihnen gedankt sei. Dem Springer Verlag gebührt Dank für die Herausgabe des Buchs Kristian Kroschel (ed.) Laser Doppler Vibrometry for Non-Contact Diagnostics ISBN 978-3-030-46691-6, Springer Nature Switzerland AG 2020











